2010 THEMIS SCIENCE NUGGETS

Chorus source region localization in the Earth's outer magnetosphere using THEMIS measurements

by Oleksiy Agapitov and Vladimir Krasnoselskikh

Introduction

The transverse scales of chorus waves generation region and the phase coherence scale were estimated using simultaneous observations of intense chorus by five THEMIS spacecraft before they were finally deployed into their designated orbits. The analysis is done for regions close to the geomagnetic equator at a radial distance of 8-9 RE (which is not covered by previous work using CLUSTER data) with a new technique based on dynamic properties of the statistical characteristics of cross correlations measured onboard different satellites. The technique proposed allows one to distinguish the source properties from the effect of wave propagation through the media with random fluctuations. An application of this technique makes it possible to estimate the spatial scale of the wave phase coherence. Evaluation of these characteristics is very important for the study of propagation of whistler waves that play significant role in the processes of wave-particle interaction in the radiation belts.

Figure 1. Detailed time-frequency power spectrograms of magnetic and electric field fluctuations near the source region captured by the SCM and EFI instruments aboard THEMIS spacecraft on July 17, 2007. Panels (from top to bottom) show data from THB (magnetic field only), THC, THD, and THE, respectively. Magnetic dipole latitude, magnetic shell, and SM coordinates are given for all spacecraft. Radial distances are from 10.6 to 11.5 RE, and magnetic local time is about 13:30 UT during this interval.

Click each image to enlarge.

Observations

THEMIS consists of five identically-instrumented spacecraft (THA, THB, THC, THD, and THE), launched on 17 February 2007. The main goal of this mission is to conduct multi-point investigations of substorm phenomena in the tail of the terrestrial magnetosphere. For the current study, Search Coil Magnetometer (SCM) observations and plasma measurements of the Electric Field Instrument (EFI) were analyzed. The three search coil antennas cover the same bandwidth, from 0.1 Hz to 4 kHz, in the ULF/ELF frequency range. The electric field components are measured directly in the same frequency range. Three components of magnetic field waveform and three components of electric field waveform captured in the wave burst mode (on-board trigger) with 8192 samp/s were used. The discrete chorus elements were observed in the frequency range 0.15-0.25 of the local electron gyrofrequency typical for the outer magnetosphere. Fig.1 shows the time-frequency power spectrograms of magnetic and electric field fluctuations near the source region captured by the SCM and EFI instruments aboard THEMIS spacecraft on 17 July 2007. The same chorus elements were observed simultaneously aboard three THEMIS spacecraft. The field-aligned Poynting flux of whistler emissions unambiguously indicates that they propagate along the magnetic field lines from the region of magnetic field minimum towards the pole. This is consistent with the generation of these waves around magnetic field minimum. We study the effect of fluctuations on the wave phase coherence scale during wave propagation. The fluctuations of plasma parameters are permanently present in the Earth magnetosphere. Fluctuations of electron concentration result in fluctuations of dielectric permittivity ε. This last can be written as a sum of the regular part and the fluctuating part . Wave propagating through the media with random fluctuations of the ε (and phase velocity respectively) will also posses regular and random components of the phase and amplitude. The coherence function of the wave field registered in two separated points and simultaneously, if the statistics of fluctuations is Gauss (for time intervals less than the characteristic temporal scale of fluctuations in plasma t) depends on the time of estimation (see Agapitov et al. 2010 for details).

         (1)

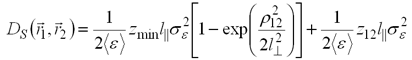
where is the structure function of the wave phase fluctuations S, u0is the source signal. By definition the structure function for the media with Gaussian fluctuations with two scales and along and transverse to the background magnetic field respectively can be rewritten as:

         (2)

where zmin is the distance from the source to the closest spacecraft along the background magnetic field, ρ12 and z12 are the distances between spacecraft transverse and parallel to the background magnetic field respectively.

Figure 2. Cross-correlation analysis of the discrete chorus element observed at 13:12 UT on 17 July 2007 onboard THEMIS spacecraft. The correlation coefficient time dependence is shown for spacecraft THC-THD, THC-THE, and THD-THE, respectively. The approximation with function (2) is shown with solid line. The approximation parameters are listed.

Click each image to enlarge.

The proposed technique was applied for the magnetic and electric field waveforms captured aboard THEMIS spacecraft (shown in Fig. 1). The temporal dependence of the mutual correlation coefficients is shown in Fig. 2. The solution of the system (2) with structure function values obtained from Eq. (1) by least square approximation resulted in evaluation of the transverse electron concentration correlation scale in a range of 300–450 km and the distance from the spacecraft to the generation region along the magnetic field in a range from 600 to 800 km.

Figure 3. The amplitude level correlation coefficients of the SCM magnetic field and EFI electric field waveform captured aboard THEMIS spacecraft at 13:12 UT on 17 July 2007 in dependence on cross spacecraft distances.

Click each image to enlarge.

The averaging on the time scale greater then the characteristic temporal scale of fluctuations results in loss of the phase information and gives the correlation characteristics of the wave source. This was used to estimate the transversal to the background magnetic field scale of the chorus wave generation region (Fig.3). Thus the proposed technique allows to distinguish the source properties from the effect of wave propagation through the media with random fluctuations.

Conclusions

The proposed novel analysis technique aims to estimate the characteristics of electron concentration fluctuations by solving the reverse problem of the wave propagation through the media with random fluctuations of the refractive index. This method, similar to interferometry techniques, is based on the multi-spacecraft chorus waveform measurements near the source region. It allows one to evaluate the characteristic scales of fluctuations of refractive index of the medium along and transverse to the direction of the wave propagation and the characteristic distance to the wave source. Since the electron concentration perturbation scale is much smaller than the estimated chorus generation region scale, the analyzed event allows us to obtain a good assumption for the chorus source region scale. The correlation scale of refractive index and the electron concentration perturbation are estimated under the geometrical optics assumption. The phase cross-correlation time dependence gives a correlation scale from 300 to 450 km transverse to the local magnetic field. The obtained distance to the source region varies from 400 to 2000 km with source speed about 1-2 thousands km/sec along the magnetic field line. The averaged amplitude correlation analysis allows us to estimate the characteristic spatial half-width of the source region transverse to the local magnetic field to be about 2800-3200 km.

Source

Agapitov, O., V. Krasnoselskikh, Yu. Zaliznyak1, V. Angelopoulos, O. Le Contel, and G. Rolland (2010), Chorus source region localization in the Earth's outer magnetosphere using THEMIS measurements, Ann. Geophys. 28, 1377-1386, doi:10.5194/angeo-28-1377-2010.

Biographical Note

Oleksiy Agapitov is an Associate Professor at the National Taras Shevchenko University of Kyiv. His sphere of interest is ULF MHD waves and whistler waves in the magnetosphere (Kyiv, Ukraine).

Vladimir Krasnoselskikh is the Director of Research with LPC2E/CNRS-University of Orleans (Orleans, France).


Please send comments/suggestions to
Emmanuel Masongsong / emasongsong@igpp.ucla.edu